(360) 574-3872
Home
OFFICERS
Kitchen
Membership
Public Meals
Event Space
Calendar
In the News
Care Packages for Troops
Clark County Resource Guide
Links
Photos
2026 Student Nurses Dinner
New Flagpole Project
Programs
Americanism
Box Car Association
Carville Star
Child Welfare
Nurses Training
POW/MIA
Ritual
Veterans Affairs Voluntary Service (VAVS)
Voiture Activities
Voiture 99 Locomotive (Loci)
Youth Sports
Publications
Cheminot Minutes
Promenade Minutes
Boxcar Archives
Forty & Eighter Newsletter
Voyageur Briefs
Forms
Policies and Procedures
VA Information
Vancouver VA Medical Center Map
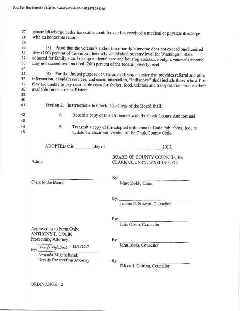
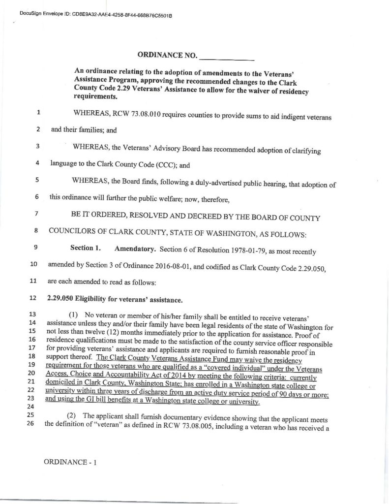
Clark County Board hearing regarding Veterans Assistance Funding
Home
>
Event
>
Clark County Board hearing regarding Veterans Assistance Funding
« All Events
This event has passed.
Clark County Board hearing regarding Veterans Assistance Funding
December 19, 2017 @ 10:00 am
-
12:00 pm
Free
«
PureKraze Events Christmas Dinner for Veterans
Voiture 99 Cheminot / Cabane 99 Cheminot
»
Add to calendar
Google Calendar
iCalendar
Outlook 365
Outlook Live
Details
Date:
December 19, 2017
Time:
10:00 am - 12:00 pm
Cost:
Free
Event Categories:
Community Service
,
Meeting
Event Tags:
Community Service
,
Meeting
,
Veteran
Organizer
Clark County Board of Councilors
Venue
Public Service Center
1300 Franklin Street
Vancouver
,
WA
United States
+ Google Map
Phone
360-397-2130